Những đề toán tưởng chừng phức tạp, khô khan bỗng chốc trở nên lãng mạng bởi đáp án cuối cùng chính là lời yêu thương ngọt ngào.
|
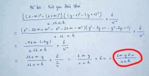
Bằng sự kết hợp giữa toán học và tình yêu, bài toán rút gọn biểu thức đã khiến dân mạng thích thú bởi cho ra đáp số kỳ lạ: em yêu anh. |

Một hình thức thể hiện khác của đề toán trên được truyền tay trên mạng xã hội.

"I<3U" là kí hiệu của " I LOVE YOU".

Bài toán chứng minh rằng không tồn tại một tình yêu đơn phương cũng giống như một đề phải luôn có hai nghiệm.

Sau khi thực hiện phép tính cộng trừ, khai căn, đáp án cuối cùng là một con số hoàn chỉnh. Bài toán khiến ta liên tưởng đến những đoạn đường tình yêu, lúc hạnh phúc, khi khổ đau nhưng điều cuối cùng mà những người yêu nhau nào cũng sẽ hướng đến chính là một đám cưới trọn vẹn.

Sơ đồ tình yêu được kể bằng những công thức toán học chính xác.

Tình yêu không có giới hạn, cũng giống như điểm âm vô cùng và dương vô cùng mà con người chứng minh được trong toán học.

Đáp án cuối cùng của bài toán trái tim là gì?

Khi xóa đi nửa trên bài toán, chữ "I LOVE YOU" sẽ hiện ra. Đây là gợi ý cho lời tỏ tình vừa kín đáo vừa dễ thương mà dân yêu toán nên áp dụng.

Tình yêu của tôi là vô cực, giới hạn của nó là 0, vậy đáp án mà con tim bạn dành cho tôi là gì? Đó là ản ý câu hỏi yêu đương thông qua những phép toán.

5 bước khôi hài chứng minh sự đồng điệu của phụ nữ và rắc rối cũng khiến người xem phì cười vì độ logic và chuẩn xác đến bất ngờ của nó.
Clip đang được xem nhiều nhất: Thêm clip bạo hành trẻ em gây phẫn nộ: Cha đẻ đánh đập dã man, tung chân đạp con gái nhỏ bay xa 2 mét!
Nhẫn cầu hôn Tension: Lựa chọn tinh tế cho ngày cầu hôn rực rỡ
Khám phá dịch vụ viết luận án tiến sĩ uy tín tại Tri Thức Cộng Đồng
Không khí lạnh tăng cường, miền Bắc chuyển rét
Hà Nội phân luồng, tạm cấm phương tiện quanh Quảng trường Cách mạng Tháng Tám
Đi từng làng, gõ từng nhà kêu gọi nhân dân tố giác 2 đối tượng cướp ngân hàng
Cảnh báo thủ đoạn lừa đảo trên không gian mạng trong dịp Tết Nguyên Đán
-
“Tổng tài” gây rối trật tự tại quán cà phê ở Hà Nội nhận mức án 24 tháng tù
-
Thu giữ gần 60 tấn lòng lợn đổi màu, bốc mùi hôi thối ở Hà Nội
-
Bộ Y tế yêu cầu sẵn sàng ứng phó sự cố lây truyền bệnh của virus Nipah qua thực phẩm
-
Bộ Y tế yêu cầu cách ly nghiêm ngặt các trường hợp nghi ngờ mắc virus Nipah
-
Công an Thành phố Hồ Chí Minh triệt phá đường dây sản xuất, mua bán trái phép chất độc Arsenic trioxide
-
Dự kiến thu phí 5 tuyến cao tốc Bắc - Nam ngay sau Tết Nguyên đán
-
Từ cuối tháng 6/2026, xe máy trên toàn quốc bắt buộc kiểm tra khí thải
-
Thuê bao di động phải xác thực sinh trắc học và VNeID